在超純水中,硼元素常以硼酸B(OH)3或者硼酸根陰離子B(OH)4-的形式存在。而在半導體工藝中,濕化學品帶來的硼元素可能導致晶圓表面的硼元素超標從而造成污染。硼是一種p型雜質,如果過量的硼在n型區域中分布,可能會引起逆摻雜,從而影響產品的良率。隨著半導體工藝的不斷發展,濕化學品中對硼元素的管控標準也逐漸在提高,因此管控化學品中的硼元素也成為了濕化學品供應商和半導體廠商的一大目標。
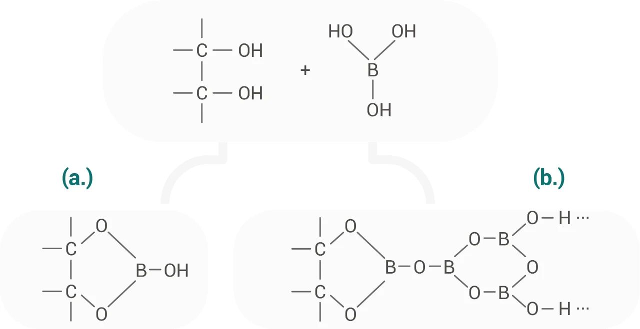
目前除硼的方法常見的有化學吸附法、反滲透法和化學沉澱法。研究表明,鄰二醇類物質可以和水溶液中的硼基團形成硼的螯合物,在不同硼濃度的條件下螯合的產物也有所不同,基於此反應機理的化學吸附法是除硼最為有效的方法。


Cobetter Plusgard™CL Purifier螯合型純化器採用了新型表面改性UPE(超高分子量聚乙烯)膜材,膜表面具有含有多羥基的改性基團。該款螯合型純化器可以通過與硼元素的螯合反應進行穩定的化學吸附,從而能夠選擇性去除水溶液中的硼元素。同時,這款純化器也具有良好的化學相容性和較低的金屬溶出等特點。實驗表明,在單次過濾的條件下,Cobetter在超純水中的除硼效率可以達到93%。

歡迎您的垂詢!
您可透過本網站「聯絡我們」頁面留下寶貴的資訊,或直接以電話或電子郵件與我們聯繫。我們將儘速回覆,提供您專業的解答與協助。
期待為您提供優質的服務。





